项目简介
铁性材料是凝聚态物理领域中的一个重要研究分支,在外场下极化且极化性质随外场翻转,同时产生滞后效应。目前常见的三种铁性包括铁磁性(自发磁化)、铁电性(自发极化)和铁弹性(自发应变),分别在外加磁场、电场和应力场作用下发生极化且随外场变化而翻转。铁磁性、铁电性分别打破了时间反演对称性和空间反射对称性,而铁弹性的两种对称性均保持不变。根据理论推测,应该存在一种具有单序参量的材料,同时打破时间反演对称性和空间反射对称性,被称为铁环体材料(Ferrotoroidic materials),即第四种铁性。铁环体材料需要同时符合以下四个标准:i. 低于特定温度的长程有序性;ii. 存在铁环畴结构;iii. 存在相转变温度;iv. 在相转变温度附近宏观磁化率显著增强。经长达六十年的探索,实验严格证实的铁环体仅无机晶体材料LiCoPO4一例。由于磁性离子在几何上并没有呈现环形排布,LiCoPO4的铁环矩净值很低。形成铁环矩的磁性离子Co2+之间并没有超交换作用,形成的铁环性不够稳定。同时,LiCoPO4材料也无拓展性,不利于功能化修饰和实际应用。
本发明采用有机大环分子与锕酰离子配位,制备得到具有长程有序性的超分子软铁环体材料并对其进行了严格的实验表征。同时对该软铁环体进行理论计算,揭示了其特性。该材料除了符合上述四项基本标准之外,还具有磁性中心几何环状排布的长程铁环矩和磁性离子之间的超交换作用。因具有强铁环序和可修饰拓展的特点,因而其应用性显著提升。研究表明,通过锕系离子稳定的基态磁能级和锕酰离子之间的强超交换相互作用构筑了稳定的长程铁环矩,在室温下仍具有明显的磁滞回效应。
应用范围
本项目获得的软铁环体首次实现在有机分子骨架材料中表现出铁环矩的长程有序性,为将铁环体材料推向实际应用创造了条件。其应用主要体现在两个方面:
(1)信息存储。铁环体材料具有自发磁化和电极化的特点,并且磁电耦合效应很强。基于本发明进一步开发存储器件,有望实现低功耗的快速信息存储和读写。除此之外,锕系超分子软铁环体材料具有较大的磁能级密度,可以实现更高密度的信息存储。
(2)量子计算。理论研究表明,铁环体材料具有较强的磁电耦合效应,而这正是实现霍尔效应的必要条件。结合铁环体内部的磁矩分布和电子结构,铁环体有望实现量子反常霍尔效应。此外,铁环体材料也可以用来创建量子门,用于量子电路的基本模块构建。目前基于磁调控的量子逻辑门主要是通过氮掺杂金刚石或者超导线圈构建的。这些材料往往需要在液氦低温和低电磁背景噪音的条件下才能对磁基态进行稳定的调控。单分子磁体也是一种构建磁调控量子逻辑门的材料。该类材料具有可修饰性和可扩展性,可以对磁能级进行精细的调控。但是单分子磁性材料的序转变温度往往在液氮温度以下(如(CpiPr5)2Ln2I3的磁滞温度为60 K),这对材料的性能发挥有着极大的限制。因此,在室温下仍然保留和磁性质相关的铁序性材料是构建量子逻辑门的关键。室温下的铁序性保留意味着更强的磁基态调控以及更便捷的逻辑门构建。
项目阶段
本项目目前处于实验室阶段。

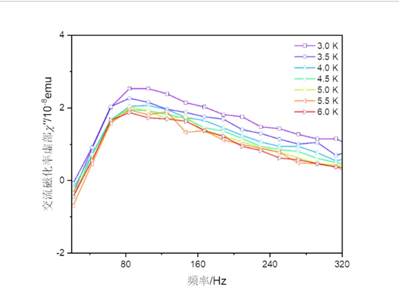
图1 本发明超分子软铁环体材料在3-6 K温度范围内的交流磁化率。
非频率依赖的峰意味着材料具有强磁有序性。

图2 本发明超分子软铁环体材料的磁滞回效应。
在300K仍然有明显的磁滞回现象。
知识产权
本项目已提交中国专利申请,申请号:CN 202311099665.8。
申请日期:2023年8月29日。
合作方式
合作开发、技术转让。
联系方式
电子信箱:kjkfb@pku.edu.cn